Simple Update

The simple update (SU) provides a computationally efficient alternative to the full update for performing imaginary-time evolution on the iPEPS [Jiang2008]. It replaces the full CTMRG environment with a mean-field approximation encoded in diagonal lambda tensors living on the bonds of the tensor network.

Gamma–Lambda Decomposition

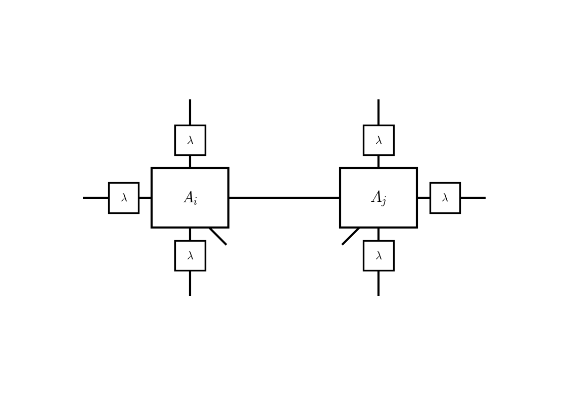
In the simple update, each site tensor is decomposed into a gamma tensor \(\Gamma_i\) (the on-site component) and diagonal lambda tensors \(\lambda^{(b)}\) on each bond \(b\) adjacent to site \(i\). This decomposition is equivalent to the Vidal canonical form [Vidal2007]:

\[A_i = \Gamma_i \prod_{b \sim i} \sqrt{\lambda^{(b)}}\]

The lambda tensors approximate the Schmidt-like weights of the bonds. The full network of site tensors and lambda tensors looks like:

../_images/su_lambda_network.png

Bond Update Procedure

Each bond update follows these steps:

1. Absorb surrounding lambdas

Starting from the two sites \(A_i, A_j\) connected by bond \((i,j)\), absorb (multiply in) the square roots of the lambda tensors on all surrounding bonds (those not being updated). The lambda on the connecting bond \((i,j)\) itself is not absorbed:

../_images/su_absorb_before.png

After absorption, the result is a pair of tensors with bare external legs:

../_images/su_absorb_after.png

2. QR decomposition

Each absorbed tensor is factorised using a QR decomposition to extract a smaller reduced tensor:

\[A_i \to A^Q_i \; a^R_i, \quad A_j \to A^Q_j \; a^R_j\]

3. Gate application

The two-body gate \(g_{ij} = e^{-\delta\tau\, h_{ij}}\) is applied to the reduced tensors through their physical indices:

\[\Theta = g_{ij} \; a^R_i \; a^R_j\]
../_images/su_gate_svd.png

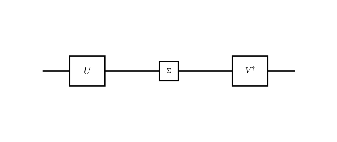
4. SVD and truncation

The resulting tensor \(\Theta\) is decomposed via SVD:

\[\Theta = U \, \Sigma \, V^\dagger\]
../_images/su_svd_result.png

The singular-value matrix \(\Sigma\) is truncated to the \(D\) largest values and normalised. The updated lambda tensor on the bond is:

\[\lambda'^{(i,j)} = \frac{\Sigma_{\le D}}{\| \Sigma_{\le D} \|}\]

5. Reassemble site tensors

The truncated \(U\) and \(V^\dagger\) are contracted back with the isometric parts:

\[a'^R_i = U_{\le D}, \quad a'^R_j = V^\dagger_{\le D}\]
\[A'_i = A^Q_i \; a'^R_i, \quad A'_j = A^Q_j \; a'^R_j\]

6. Strip surrounding lambdas

Finally, the surrounding lambda tensors that were absorbed in step 1 are stripped (divided out) from the updated site tensors, restoring the Gamma–Lambda decomposition.

Measurements

After the simple update evolution converges, measurements of expectation values require a converged CTMRG environment. The full site tensors \(A_i\) (with lambdas absorbed) are used for this purpose. The simple update only accelerates the imaginary-time evolution; the measurement step is identical to that used in the full update.

References

[Jiang2008]
    1. Jiang, Z. Y. Weng, and T. Xiang, Accurate determination of tensor network state of quantum lattice models in two dimensions, Phys. Rev. Lett. 101, 090603 (2008).

[Vidal2007]
  1. Vidal, Classical simulation of infinite-size quantum lattice systems in one spatial dimension, Phys. Rev. Lett. 98, 070201 (2007).